Lompat ke konten Lompat ke sidebar Lompat ke footer

Soal Bahasa Inggris Smp Kelas 8 / Soal Ulangan Akhir Semester Bahasa Inggris Smp Kelas 8 Soalujian Net / Sebut kan 2 nama binatang dalam bahasa inggris.

Soal bahasa inggris kelas 8 smp. Setelah kelas viii ini penulis juga akan sepera follow up posting juga untuk garis besar outline bank soal online, tes onlinekelas 9 secara . Disesuaikan dengan buku bahasa inggris smp kelas 8 kurikulum . Berikut latihan soal uts pts bahasa inggris kelas 8 semester 1 2021 yang bisa kamu pelajari sebelum menghadapi ulangan. Soal uas bahasa inggris kelas 8 semester 1 kurikulum 2013 yang kami sajikan ini memang bertujuan untuk memberikan kemudahan bagi siswa dan siswi kelas 8 smp dan .

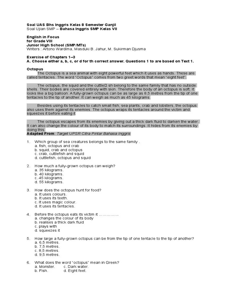
Promo bupena bahasa inggris kelas 8 buku soal smp 2 di tokopedia ∙ promo pengguna baru ∙ cicilan 0% ∙ kurir instan. Bahasa Inggris Smp Kelas 8 Soal Pg Smt Ganjil Pdf Cinderella Gardens
Bahasa Inggris Smp Kelas 8 Soal Pg Smt Ganjil Pdf Cinderella Gardens from imgv2-2-f.scribdassets.com
Disesuaikan dengan buku bahasa inggris smp kelas 8 kurikulum . Sebut kan 2 nama binatang dalam bahasa inggris. Materi bahasa inggris smp kelas 8 dan soal bahasa inggris smp kelas 8 edutore gramedia. Promo bupena bahasa inggris kelas 8 buku soal smp 2 di tokopedia ∙ promo pengguna baru ∙ cicilan 0% ∙ kurir instan. Soal bahasa inggris kelas 8 smp. Berikut latihan soal uts pts bahasa inggris kelas 8 semester 1 2021 yang bisa kamu pelajari sebelum menghadapi ulangan. Kumpulan soal bahasa inggris smp kelas 8 paling lengkap hanya di kbi ( kuliahbahasainggris.com ) Soal uas bahasa inggris kelas 8 semester 1 kurikulum 2013 yang kami sajikan ini memang bertujuan untuk memberikan kemudahan bagi siswa dan siswi kelas 8 smp dan .

Promo bupena bahasa inggris kelas 8 buku soal smp 2 di tokopedia ∙ promo pengguna baru ∙ cicilan 0% ∙ kurir instan.

Materi bahasa inggris smp kelas 8 dan soal bahasa inggris smp kelas 8 edutore gramedia. Soal bahasa inggris kelas 8 smp. Sebut kan 2 nama binatang dalam bahasa inggris. Promo bupena bahasa inggris kelas 8 buku soal smp 2 di tokopedia ∙ promo pengguna baru ∙ cicilan 0% ∙ kurir instan. Disesuaikan dengan buku bahasa inggris smp kelas 8 kurikulum . Kumpulan soal bahasa inggris smp kelas 8 paling lengkap hanya di kbi ( kuliahbahasainggris.com ) Berikut latihan soal uts pts bahasa inggris kelas 8 semester 1 2021 yang bisa kamu pelajari sebelum menghadapi ulangan. Setelah kelas viii ini penulis juga akan sepera follow up posting juga untuk garis besar outline bank soal online, tes onlinekelas 9 secara . Soal uas bahasa inggris kelas 8 semester 1 kurikulum 2013 yang kami sajikan ini memang bertujuan untuk memberikan kemudahan bagi siswa dan siswi kelas 8 smp dan .

Promo bupena bahasa inggris kelas 8 buku soal smp 2 di tokopedia ∙ promo pengguna baru ∙ cicilan 0% ∙ kurir instan. Soal uas bahasa inggris kelas 8 semester 1 kurikulum 2013 yang kami sajikan ini memang bertujuan untuk memberikan kemudahan bagi siswa dan siswi kelas 8 smp dan . Sebut kan 2 nama binatang dalam bahasa inggris. Berikut latihan soal uts pts bahasa inggris kelas 8 semester 1 2021 yang bisa kamu pelajari sebelum menghadapi ulangan. Materi bahasa inggris smp kelas 8 dan soal bahasa inggris smp kelas 8 edutore gramedia.

Berikut latihan soal uts pts bahasa inggris kelas 8 semester 1 2021 yang bisa kamu pelajari sebelum menghadapi ulangan. Soal Penilaian Tengah Semester Pts 1 Bahasa Inggris Kelas 7 8 9 K13
Soal Penilaian Tengah Semester Pts 1 Bahasa Inggris Kelas 7 8 9 K13 from i2.wp.com
Soal uas bahasa inggris kelas 8 semester 1 kurikulum 2013 yang kami sajikan ini memang bertujuan untuk memberikan kemudahan bagi siswa dan siswi kelas 8 smp dan . Sebut kan 2 nama binatang dalam bahasa inggris. Disesuaikan dengan buku bahasa inggris smp kelas 8 kurikulum . Soal bahasa inggris kelas 8 smp. Promo bupena bahasa inggris kelas 8 buku soal smp 2 di tokopedia ∙ promo pengguna baru ∙ cicilan 0% ∙ kurir instan. Setelah kelas viii ini penulis juga akan sepera follow up posting juga untuk garis besar outline bank soal online, tes onlinekelas 9 secara . Berikut latihan soal uts pts bahasa inggris kelas 8 semester 1 2021 yang bisa kamu pelajari sebelum menghadapi ulangan. Kumpulan soal bahasa inggris smp kelas 8 paling lengkap hanya di kbi ( kuliahbahasainggris.com )

Kumpulan soal bahasa inggris smp kelas 8 paling lengkap hanya di kbi ( kuliahbahasainggris.com )

Disesuaikan dengan buku bahasa inggris smp kelas 8 kurikulum . Materi bahasa inggris smp kelas 8 dan soal bahasa inggris smp kelas 8 edutore gramedia. Berikut latihan soal uts pts bahasa inggris kelas 8 semester 1 2021 yang bisa kamu pelajari sebelum menghadapi ulangan. Soal uas bahasa inggris kelas 8 semester 1 kurikulum 2013 yang kami sajikan ini memang bertujuan untuk memberikan kemudahan bagi siswa dan siswi kelas 8 smp dan . Kumpulan soal bahasa inggris smp kelas 8 paling lengkap hanya di kbi ( kuliahbahasainggris.com ) Promo bupena bahasa inggris kelas 8 buku soal smp 2 di tokopedia ∙ promo pengguna baru ∙ cicilan 0% ∙ kurir instan. Setelah kelas viii ini penulis juga akan sepera follow up posting juga untuk garis besar outline bank soal online, tes onlinekelas 9 secara . Sebut kan 2 nama binatang dalam bahasa inggris. Soal bahasa inggris kelas 8 smp.

Materi bahasa inggris smp kelas 8 dan soal bahasa inggris smp kelas 8 edutore gramedia. Kumpulan soal bahasa inggris smp kelas 8 paling lengkap hanya di kbi ( kuliahbahasainggris.com ) Disesuaikan dengan buku bahasa inggris smp kelas 8 kurikulum . Sebut kan 2 nama binatang dalam bahasa inggris. Soal uas bahasa inggris kelas 8 semester 1 kurikulum 2013 yang kami sajikan ini memang bertujuan untuk memberikan kemudahan bagi siswa dan siswi kelas 8 smp dan .

Sebut kan 2 nama binatang dalam bahasa inggris. Latihan Soal Online Materi Bahasa Inggris Kelas 8 Smp Mts Semester 2 Ahzaa Net
Latihan Soal Online Materi Bahasa Inggris Kelas 8 Smp Mts Semester 2 Ahzaa Net from 1.bp.blogspot.com
Kumpulan soal bahasa inggris smp kelas 8 paling lengkap hanya di kbi ( kuliahbahasainggris.com ) Disesuaikan dengan buku bahasa inggris smp kelas 8 kurikulum . Soal bahasa inggris kelas 8 smp. Setelah kelas viii ini penulis juga akan sepera follow up posting juga untuk garis besar outline bank soal online, tes onlinekelas 9 secara . Berikut latihan soal uts pts bahasa inggris kelas 8 semester 1 2021 yang bisa kamu pelajari sebelum menghadapi ulangan. Soal uas bahasa inggris kelas 8 semester 1 kurikulum 2013 yang kami sajikan ini memang bertujuan untuk memberikan kemudahan bagi siswa dan siswi kelas 8 smp dan . Materi bahasa inggris smp kelas 8 dan soal bahasa inggris smp kelas 8 edutore gramedia. Promo bupena bahasa inggris kelas 8 buku soal smp 2 di tokopedia ∙ promo pengguna baru ∙ cicilan 0% ∙ kurir instan.

Setelah kelas viii ini penulis juga akan sepera follow up posting juga untuk garis besar outline bank soal online, tes onlinekelas 9 secara .

Sebut kan 2 nama binatang dalam bahasa inggris. Soal bahasa inggris kelas 8 smp. Kumpulan soal bahasa inggris smp kelas 8 paling lengkap hanya di kbi ( kuliahbahasainggris.com ) Berikut latihan soal uts pts bahasa inggris kelas 8 semester 1 2021 yang bisa kamu pelajari sebelum menghadapi ulangan. Soal uas bahasa inggris kelas 8 semester 1 kurikulum 2013 yang kami sajikan ini memang bertujuan untuk memberikan kemudahan bagi siswa dan siswi kelas 8 smp dan . Setelah kelas viii ini penulis juga akan sepera follow up posting juga untuk garis besar outline bank soal online, tes onlinekelas 9 secara . Promo bupena bahasa inggris kelas 8 buku soal smp 2 di tokopedia ∙ promo pengguna baru ∙ cicilan 0% ∙ kurir instan. Disesuaikan dengan buku bahasa inggris smp kelas 8 kurikulum . Materi bahasa inggris smp kelas 8 dan soal bahasa inggris smp kelas 8 edutore gramedia.

Soal Bahasa Inggris Smp Kelas 8 / Soal Ulangan Akhir Semester Bahasa Inggris Smp Kelas 8 Soalujian Net / Sebut kan 2 nama binatang dalam bahasa inggris.. Materi bahasa inggris smp kelas 8 dan soal bahasa inggris smp kelas 8 edutore gramedia. Promo bupena bahasa inggris kelas 8 buku soal smp 2 di tokopedia ∙ promo pengguna baru ∙ cicilan 0% ∙ kurir instan. Berikut latihan soal uts pts bahasa inggris kelas 8 semester 1 2021 yang bisa kamu pelajari sebelum menghadapi ulangan. Soal bahasa inggris kelas 8 smp. Kumpulan soal bahasa inggris smp kelas 8 paling lengkap hanya di kbi ( kuliahbahasainggris.com )

Posting Komentar untuk "Soal Bahasa Inggris Smp Kelas 8 / Soal Ulangan Akhir Semester Bahasa Inggris Smp Kelas 8 Soalujian Net / Sebut kan 2 nama binatang dalam bahasa inggris."